Subcat-Test2-post1

Version 9 is the most complete version of Hydejack yet. Modernized design, big headlines, and big new features.
Version 9 is the most complete version of Hydejack yet.

Version 9 is the most complete version of Hydejack yet. Modernized design, big headlines, and big new features.
Version 9 is the most complete version of Hydejack yet.

A page showing Hydejack-specific markdown content.
Hydejack offers a few additional features to markup your markdown. Don’t worry, these are merely CSS classes added with kramdown’s {:...} syntax, so that your content remains compatible with other Jekyll themes.

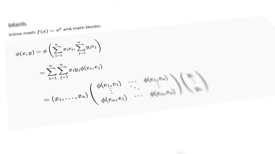
A page showing how regular markdown content is styled in Hydejack.
There should be whitespace between paragraphs. We recommend including a README, or a file with information about your project.
Howdy! This is an example blog post that shows several types of HTML content supported in this theme.
Cum sociis natoque penatibus et magnis dis parturient montes, nascetur ridiculus mus. Aenean eu leo quam. Pellentesque ornare sem lacinia quam venenatis vestibulum. Sed posuere consectetur est at lobortis. Cras mattis consectetur purus sit amet fermentum.